<

1 3 5 7 99 X 2 2

<
Tentukan Hasil Dari Tanpa Hitung Satu Persatu A 1 3 5 7 9 98 B Brainly Co Id

Tentukan Hasil Dari Tanpa Hitung Satu Persatu A 1 3 5 7 9 98 B Brainly Co Id

Tentukan Hasil Dari Tanpa Menghitung Satu Persatu A 1 2 5 7 9 99 B Brainly Co Id

Tentukan Hasil Dari Tanpa Menghitung Satu Persatu A 1 2 5 7 9 99 B Brainly Co Id

Penjumlahan 1 3 5 99 Tentukan Hasil Dari Docx

Penjumlahan 1 3 5 99 Tentukan Hasil Dari Docx

Quiz1 Jika Nilai A 2 3 4 Dan Nilai B 1 3 Maka Nilai Dari A B 2 Jika M A I U Brainly Co Id

Quiz1 Jika Nilai A 2 3 4 Dan Nilai B 1 3 Maka Nilai Dari A B 2 Jika M A I U Brainly Co Id

7 1 3 5 7 49 Should Be Equal To A 492 B 24 C 252 D None Of These 8 10 9 X V1 6 A 0 12 B 1 2 C 0 75 D 12

7 1 3 5 7 49 Should Be Equal To A 492 B 24 C 252 D None Of These 8 10 9 X V1 6 A 0 12 B 1 2 C 0 75 D 12

Jumlah Bilangan Berurutan Baris Aritmetika Smp Youtube

Jumlah Bilangan Berurutan Baris Aritmetika Smp Youtube

Jumlah Bilangan Berurutan Baris Aritmetika Smp Youtube

Diketahui Himpunan A X X Lt 10 X Bilangan Asli Dan B Y 3 Y 4 Y Bilangan Brainly Co Id

Diketahui Himpunan A X X Lt 10 X Bilangan Asli Dan B Y 3 Y 4 Y Bilangan Brainly Co Id

Sbmptnfess على تويتر Ptn Gais Ini Caranya Gimana Ya

Sbmptnfess على تويتر Ptn Gais Ini Caranya Gimana Ya

Soal Olimpiade Matematika Sd

Soal Olimpiade Matematika Sd

Calameo Thomas Calculus Solution Manual

Calameo Thomas Calculus Solution Manual

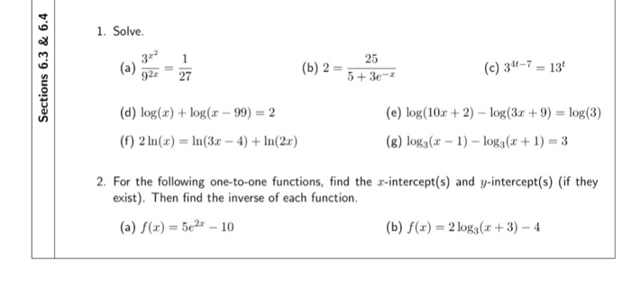
Solved Solve 3x 2 9 2x 1 27 2 25 5 3e X 3 4t 7 Chegg Com

Solved Solve 3x 2 9 2x 1 27 2 25 5 3e X 3 4t 7 Chegg Com

Jumlah Bilangan Berurutan Baris Aritmetika Smp Youtube

Jumlah Bilangan Berurutan Baris Aritmetika Smp Youtube

Diketahui S 1 2 3 4 5 6 7 8 9 10 11 12 A 1 3 5 7 9 B Bilangan Prima Kurang Dari 10 Danc X 17 Brainly Co Id

Diketahui S 1 2 3 4 5 6 7 8 9 10 11 12 A 1 3 5 7 9 B Bilangan Prima Kurang Dari 10 Danc X 17 Brainly Co Id

Multiplying Fractions Mixed Numbers Ppt Video Online Download

Multiplying Fractions Mixed Numbers Ppt Video Online Download

Tentukan Hasil Dari 1 1 3 5 7 9 99 2 100 99 98 2 1 0 1 2 48 49 50 Brainly Co Id

Tentukan Hasil Dari 1 1 3 5 7 9 99 2 100 99 98 2 1 0 1 2 48 49 50 Brainly Co Id

Aljabar Sma 2

Aljabar Sma 2

Solved 14 Identify The Focus And Directrik Of The Parabo Chegg Com

Solved 14 Identify The Focus And Directrik Of The Parabo Chegg Com

Soal Olimpiade Matematika Sd Pdf Document

Soal Olimpiade Matematika Sd Pdf Document

Nbhqxiniqbe2cm

Nbhqxiniqbe2cm

Solved Find The Derivative Of The Function F X 5x 6 Chegg Com

Solved Find The Derivative Of The Function F X 5x 6 Chegg Com

Source : pinterest.com