<

F X 1 5 X

<
Grafik Fungsi F X 1 5 Brainly Co Id

Grafik Fungsi F X 1 5 Brainly Co Id

Solution Plot The Graph Of The Following Function F X 1 5 X

Solution Plot The Graph Of The Following Function F X 1 5 X

Diketahui Fungsi F X 1 5x X 2 Dengan X Tidak Sama Dengan 2 Dan F X Adalah Invers Dari F X Brainly Co Id

Diketahui Fungsi F X 1 5x X 2 Dengan X Tidak Sama Dengan 2 Dan F X Adalah Invers Dari F X Brainly Co Id

Solved Find A Power Series Representation For F X 1 5 Chegg Com

Solved Find A Power Series Representation For F X 1 5 Chegg Com

Ex 5 1 5 Is F X X X 1 5 X 1 Continuous At X 0 1 2

Ex 5 1 5 Is F X X X 1 5 X 1 Continuous At X 0 1 2

Grafik Fungsi Dari F X 1 5 X Brainly Co Id

Grafik Fungsi Dari F X 1 5 X Brainly Co Id

Grafik Fungsi Dari F X 1 5 X Brainly Co Id

Solution Draw The Graph F X 1 5 X 1

Solution Draw The Graph F X 1 5 X 1

C X X 1 5 X 6 Find Where The Function Increases And Decreases Mathematics Stack Exchange

C X X 1 5 X 6 Find Where The Function Increases And Decreases Mathematics Stack Exchange

F X Integral 1 3 X2 2x 5 Dx Dan F 1 5 Maka F X Brainly Co Id

F X Integral 1 3 X2 2x 5 Dx Dan F 1 5 Maka F X Brainly Co Id

How Do We Solve F X 1 3x 5 Evaluate F 2 And F 2x Quora

How Do We Solve F X 1 3x 5 Evaluate F 2 And F 2x Quora

Solutions College Algebra

Solutions College Algebra

Solved Find A Power Series Representation For F X 1 5 Chegg Com

Solved Find A Power Series Representation For F X 1 5 Chegg Com

1 Tentukan Turunan Fungsi Dari X Adalah 2 Diketahui Fungsi F X 3x 5x 2 Dan G X 2x Brainly Co Id

1 Tentukan Turunan Fungsi Dari X Adalah 2 Diketahui Fungsi F X 3x 5x 2 Dan G X 2x Brainly Co Id

Solved Find F X F X X 3 2x 37 F X 3x 2 2x Chegg Com

Solved Find F X F X X 3 2x 37 F X 3x 2 2x Chegg Com

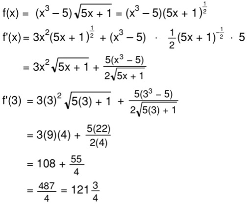
Jika F X X3 5 5x 1 Nilai F 3 Mas Dayat

Jika F X X3 5 5x 1 Nilai F 3 Mas Dayat

If G Is The Inverse Of A Function F And F X 1 1 X 5 Then G X Is Equal To Sarthaks Econnect Largest Online Education Community

If G Is The Inverse Of A Function F And F X 1 1 X 5 Then G X Is Equal To Sarthaks Econnect Largest Online Education Community

Soal Menentukan Gof X Dan Gof X Youtube

Soal Menentukan Gof X Dan Gof X Youtube

Industrial Mathematics I Ppt Video Online Download

Industrial Mathematics I Ppt Video Online Download

Pdf Soal Turunan Naufal Nuf Academia Edu

Pdf Soal Turunan Naufal Nuf Academia Edu

Fungsi Komposisi Dan Invers Ml201

Fungsi Komposisi Dan Invers Ml201

Source : pinterest.com