<

F X 2x 2 5x 3

<
Solved F X 2x 2 5x 3 X 3 If X Notequalto 3 6 If Chegg Com

Solved F X 2x 2 5x 3 X 3 If X Notequalto 3 6 If Chegg Com

Solved Given F X X 2 5x 3 Find F 2 2 2 5 Chegg Com

Solved Given F X X 2 5x 3 Find F 2 2 2 5 Chegg Com

Grafik Fungsi Kuadrat Dari Persamaan Y 2x 2 5x 3 Mohon Pencerahannya Terima Kasih Gambar Di Brainly Co Id

Grafik Fungsi Kuadrat Dari Persamaan Y 2x 2 5x 3 Mohon Pencerahannya Terima Kasih Gambar Di Brainly Co Id

No 13diketahui F X 2x 5x 3 Dan G X 2x 4 Rumus Fungsi F O G X Adalah Brainly Co Id

No 13diketahui F X 2x 5x 3 Dan G X 2x 4 Rumus Fungsi F O G X Adalah Brainly Co Id

Grafik Fungsi Kuadrat Dari Persamaan Y 2x 2 5x 3 Mohon Pencerahannya Terima Kasih Gambar Di Brainly Co Id

Grafik Fungsi Kuadrat Dari Persamaan Y 2x 2 5x 3 Mohon Pencerahannya Terima Kasih Gambar Di Brainly Co Id

2x 2 5x 3 0 Youtube

2x 2 5x 3 0 Youtube

2x 2 5x 3 0 Youtube

Factor 2x 2 5x 3 Youtube

Factor 2x 2 5x 3 Youtube

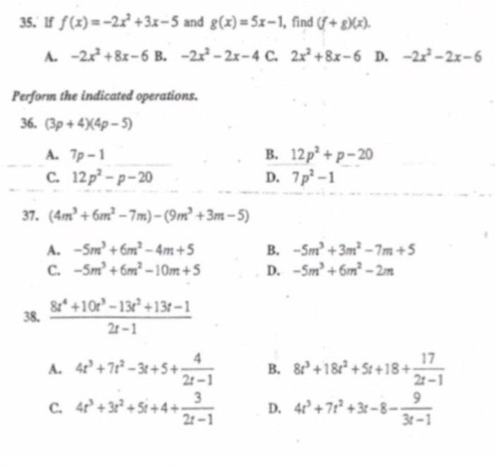
Solved If F X 2x 2 3x 5 And G X 5x 1 Find F Chegg Com

Solved If F X 2x 2 3x 5 And G X 5x 1 Find F Chegg Com

Solution Solve The Equation X 3 2x 2 5x 6 0 Given That 2 Is A Zero Of F X X 3 2x 2 5x 6 The Solution Set Is

Solution Solve The Equation X 3 2x 2 5x 6 0 Given That 2 Is A Zero Of F X X 3 2x 2 5x 6 The Solution Set Is

Jika F X 2x 5x 7 Dan G X 3x 12 Maka Nilai G O F 2 Brainly Co Id

Jika F X 2x 5x 7 Dan G X 3x 12 Maka Nilai G O F 2 Brainly Co Id

Diketahui Fungsi F Dengan Rumus F X 5x 3 Dan F Adalah Fungsi Invers Dari F Nilai Dari Brainly Co Id

Diketahui Fungsi F Dengan Rumus F X 5x 3 Dan F Adalah Fungsi Invers Dari F Nilai Dari Brainly Co Id

Example 7 Solve 2x2 5x 3 0 By Completing The Square

Example 7 Solve 2x2 5x 3 0 By Completing The Square

How To Find All Rational Zeros For F X X 3 2x 2 5x 6 Quora

How To Find All Rational Zeros For F X X 3 2x 2 5x 6 Quora

Solved F X 4x 3 5x 2 6x 4 F 2 F X X 4 5x Chegg Com

Solved F X 4x 3 5x 2 6x 4 F 2 F X X 4 5x Chegg Com

Diketahui F X X 2x 1 Dan G X X 5x 3 Tentukan F 2 Dan G F 2 Brainly Co Id

Diketahui F X X 2x 1 Dan G X X 5x 3 Tentukan F 2 Dan G F 2 Brainly Co Id

Example 47 Find Intervals In Which F X 3 10x4 4 5x3

Example 47 Find Intervals In Which F X 3 10x4 4 5x3

19 Modul Turunan Diferensial Pak Sukani

19 Modul Turunan Diferensial Pak Sukani

Turunan Turunan Fungsi Aljabar

Turunan Turunan Fungsi Aljabar

F X Dibagi X 2 Sisanya 5 Dan Dibagi X X 6 Sisanya 3x 1 Jika F X Dibagi X 4 Sisa Pembagiannya Youtube

F X Dibagi X 2 Sisanya 5 Dan Dibagi X X 6 Sisanya 3x 1 Jika F X Dibagi X 4 Sisa Pembagiannya Youtube

12 Soal Soal Suku Banyak

12 Soal Soal Suku Banyak

Source : pinterest.com