<

F X 3x2 2x 1

<
F X 3x2 2x 1 G X Akar X 3 Nilai Fog 16 Adalah Brainly Co Id

F X 3x2 2x 1 G X Akar X 3 Nilai Fog 16 Adalah Brainly Co Id

Misal F X 3x2 1 Dan G X 2x 1 X 2 Nilai Dari Fog 3 Brainly Co Id

Misal F X 3x2 1 Dan G X 2x 1 X 2 Nilai Dari Fog 3 Brainly Co Id

Solved For F X 3x2 2x 1 Which Of The Following Represe Chegg Com

Solved For F X 3x2 2x 1 Which Of The Following Represe Chegg Com

Solved 2x 1 F X X2 1 G X 3x2 2x 1 5 B 2x 1 F X X 1 Chegg Com

Solved 2x 1 F X X2 1 G X 3x2 2x 1 5 B 2x 1 F X X 1 Chegg Com

Diketahui F X 3x Pangkat Dua 2x 1 Nilai Maksimum Fungsi Tersebut Adalah Brainly Co Id

Diketahui F X 3x Pangkat Dua 2x 1 Nilai Maksimum Fungsi Tersebut Adalah Brainly Co Id

Turunan Pertama Dari Fungsi F X 5x4 4x3 3x2 2x 1 Dan Soal Ke Dua Turunan Pertama Dari Fungsi Brainly Co Id

Turunan Pertama Dari Fungsi F X 5x4 4x3 3x2 2x 1 Dan Soal Ke Dua Turunan Pertama Dari Fungsi Brainly Co Id

Turunan Pertama Dari Fungsi F X 5x4 4x3 3x2 2x 1 Dan Soal Ke Dua Turunan Pertama Dari Fungsi Brainly Co Id

F X 3x2 2x 6 Dan G X X 5 Fungsi Fog X Adalah Brainly Co Id

F X 3x2 2x 6 Dan G X X 5 Fungsi Fog X Adalah Brainly Co Id

F X X2 2x 1 Dan G X X2 3x 2 Jika H X 5f X 2g X Nilai H 3 Brainly Co Id

F X X2 2x 1 Dan G X X2 3x 2 Jika H X 5f X 2g X Nilai H 3 Brainly Co Id

Dik F X 4x 3 3x 2 2x 1 Tentukanlah F X Brainly Co Id

Dik F X 4x 3 3x 2 2x 1 Tentukanlah F X Brainly Co Id

Fungsi F R Gt R Didefinisikan Sebagai F X 2x 1 3x 4 X 4 3 Inversdari Fungsi F Adalah Brainly Co Id

Fungsi F R Gt R Didefinisikan Sebagai F X 2x 1 3x 4 X 4 3 Inversdari Fungsi F Adalah Brainly Co Id

Napishite Uravnenie Kasatelnoj K Grafiku Funkcii F X X 3 3x 2 2x 1 V Tochke S Abscissoj Shkolnye Znaniya Com

Napishite Uravnenie Kasatelnoj K Grafiku Funkcii F X X 3 3x 2 2x 1 V Tochke S Abscissoj Shkolnye Znaniya Com

Given That G X 3x 2 2x 1 Find Each Of The Following A G 0 B G 1 C G 3 D G X Brainly Com

Given That G X 3x 2 2x 1 Find Each Of The Following A G 0 B G 1 C G 3 D G X Brainly Com

Answered F X 2x 1 And G X 3x2 2 Find Bartleby

Answered F X 2x 1 And G X 3x2 2 Find Bartleby

Solved If F X 3x 2 2x 1 And G X 5x 2 Find F Chegg Com

Solved If F X 3x 2 2x 1 And G X 5x 2 Find F Chegg Com

Izvestno Chto F X 3x 2 2x 1 Dokazhite Chto F Sinx 2sinx 3cosx 2 Ucheba I Nauka

Izvestno Chto F X 3x 2 2x 1 Dokazhite Chto F Sinx 2sinx 3cosx 2 Ucheba I Nauka

F X 2x 3 3x2 2x 5 Find F 0 F 1 F 1 F 1 Math Polynomials 11430245 Meritnation Com

F X 2x 3 3x2 2x 5 Find F 0 F 1 F 1 F 1 Math Polynomials 11430245 Meritnation Com

Solved 7 26 Find F X 8 F X 3x2 2x 1 6 10 F X Chegg Com

Solved 7 26 Find F X 8 F X 3x2 2x 1 6 10 F X Chegg Com

What Must Be Added To F X 6x5 5x4 11x3 3x2 X 5 So That It May Be Exactly Divisible By G X 3x2 2x 4 Mathematics Topperlearning Com 6ocvt9cnn

What Must Be Added To F X 6x5 5x4 11x3 3x2 X 5 So That It May Be Exactly Divisible By G X 3x2 2x 4 Mathematics Topperlearning Com 6ocvt9cnn

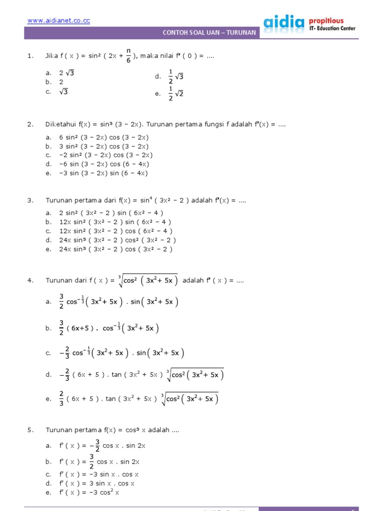
Contohsoaluan Turunan

Contohsoaluan Turunan

Pdf Soal Latihan Dan Pembahasan Wahyu Anidah Academia Edu

Pdf Soal Latihan Dan Pembahasan Wahyu Anidah Academia Edu

Source : pinterest.com