<

F X 3x3 4x2 X 5

<
Jika F X Adalah Turunan Pertama Dari Fungsi F X 2 3x3 4x2 X 5 Tentukan Nilai F 2 Brainly Co Id

Jika F X Adalah Turunan Pertama Dari Fungsi F X 2 3x3 4x2 X 5 Tentukan Nilai F 2 Brainly Co Id

Fungsi F Yang Dirumuskan Dengan F X 5 3x 4x 2 X 3 Turun Pada Interval Mohon Bantuannya Brainly Co Id

Fungsi F Yang Dirumuskan Dengan F X 5 3x 4x 2 X 3 Turun Pada Interval Mohon Bantuannya Brainly Co Id

Tolong Bantu Jawab Jawablah Dengan Singkat Dan Tepat 1 Tentukan F X Dari Fungsi Berikut A F Brainly Co Id

Tolong Bantu Jawab Jawablah Dengan Singkat Dan Tepat 1 Tentukan F X Dari Fungsi Berikut A F Brainly Co Id

Turunan Dari F X 3x 4x 3x Adalah F X Mohon Bantuannya Brainly Co Id

Turunan Dari F X 3x 4x 3x Adalah F X Mohon Bantuannya Brainly Co Id

Tentukan Hasil Bagi Dan Sisa Pembagian Suku Banyak Berikut A 3x 4 2x 3 X 2 4x 5 X Brainly Co Id

Tentukan Hasil Bagi Dan Sisa Pembagian Suku Banyak Berikut A 3x 4 2x 3 X 2 4x 5 X Brainly Co Id

Sisa Pembagian Dari Suku Banyak X5 2x4 4x2 3x 2 Dibagi Oleh X3 X 2 Brainly Co Id

Sisa Pembagian Dari Suku Banyak X5 2x4 4x2 3x 2 Dibagi Oleh X3 X 2 Brainly Co Id

Sisa Pembagian Dari Suku Banyak X5 2x4 4x2 3x 2 Dibagi Oleh X3 X 2 Brainly Co Id

Solved 3 U X2 1 3x3 6x 5 4 4x2 2x 1 2 3 5x 5 Chegg Com

Solved 3 U X2 1 3x3 6x 5 4 4x2 2x 1 2 3 5x 5 Chegg Com

Solved Find If Any Exist The Critical Values Of Each Fu Chegg Com

Solved Find If Any Exist The Critical Values Of Each Fu Chegg Com

19 Modul Turunan Diferensial Pak Sukani

19 Modul Turunan Diferensial Pak Sukani

Tentukan Hasil Bagi A 12x3 4x2 Oleh 2x2 B X2 5x 6 Oleh X 2 C 2x2 X 10 Oleh X 2 D Brainly Co Id

Tentukan Hasil Bagi A 12x3 4x2 Oleh 2x2 B X2 5x 6 Oleh X 2 C 2x2 X 10 Oleh X 2 D Brainly Co Id

Interval X Agar Grafik Fungsi F X 1 3x 3 2x 2 5x 10 Naik Adalah Brainly Co Id

Interval X Agar Grafik Fungsi F X 1 3x 3 2x 2 5x 10 Naik Adalah Brainly Co Id

Soal Dan Pembahasan Suku Banyak

Soal Dan Pembahasan Suku Banyak

Polinomial Suku Banyak 2018

Polinomial Suku Banyak 2018

Soal Dan Pembahasan Suku Banyak

Soal Dan Pembahasan Suku Banyak

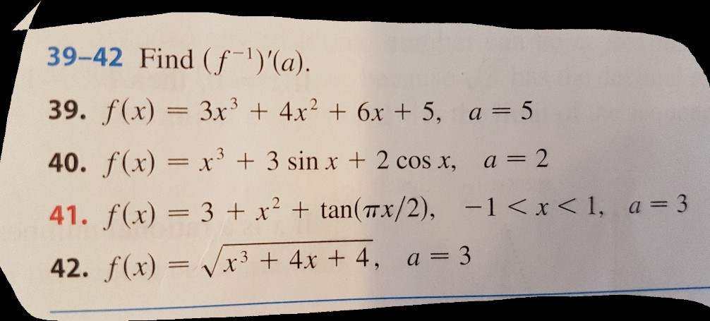
Solved 39 42 Find A 39 F X 3x3 4x2 6x 5 Chegg Com

Solved 39 42 Find A 39 F X 3x3 4x2 6x 5 Chegg Com

Soal Dan Pembahasan Suku Banyak

Soal Dan Pembahasan Suku Banyak

Soal Dan Pembahasan Suku Banyak

Soal Dan Pembahasan Suku Banyak

Solved 1 Determine If The Following Is An Even Function Chegg Com

Solved 1 Determine If The Following Is An Even Function Chegg Com

Jika Fungsi F X 4x 5 Dan G X 6x2 3 Hasil Integral F X G X Dx Adalah A 3x3 4x2 Brainly Co Id

Jika Fungsi F X 4x 5 Dan G X 6x2 3 Hasil Integral F X G X Dx Adalah A 3x3 4x2 Brainly Co Id

Soal Dan Pembahasan Suku Banyak

Soal Dan Pembahasan Suku Banyak

Source : pinterest.com