<

Integration Of X 6 1 X 2 1

<
Evaluate Integration X6 1 X2 1 Dx Explain In Great Detail Mathematics Topperlearning Com 2b04v1yy

Evaluate Integration X6 1 X2 1 Dx Explain In Great Detail Mathematics Topperlearning Com 2b04v1yy

Ex 7 4 6 Integrate X2 1 X6 Chapter 7 Cbse Ncert

Ex 7 4 6 Integrate X2 1 X6 Chapter 7 Cbse Ncert

How To Do The Integration Dx X 4 1 X 6 1 Quora

How To Do The Integration Dx X 4 1 X 6 1 Quora

Integral De X 2 1 X 6 Dx Youtube

Integral De X 2 1 X 6 Dx Youtube

How To Do The Integration Dx X 4 1 X 6 1 Quora

How To Do The Integration Dx X 4 1 X 6 1 Quora

Integral X 4 1 By X 6 1 Divide By X 2 After Partial Fraction Split Skm Classes Youtube Youtube

Integral X 4 1 By X 6 1 Divide By X 2 After Partial Fraction Split Skm Classes Youtube Youtube

Integral X 4 1 By X 6 1 Divide By X 2 After Partial Fraction Split Skm Classes Youtube Youtube

Evalute Integral X 2 1 X 6 Dx Brainly In

Evalute Integral X 2 1 X 6 Dx Brainly In

Solved Use Partial Fractions To Find Integral 1 X 2 9 D Chegg Com

Solved Use Partial Fractions To Find Integral 1 X 2 9 D Chegg Com

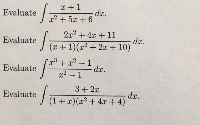
Example 12 Find X2 1 X2 5x 6 Dx Class 12 Examples

Example 12 Find X2 1 X2 5x 6 Dx Class 12 Examples

Find Int Frac X 1 X 2 5x 6 Dx Why My Solution Is Different From Book Mathematics Stack Exchange

Find Int Frac X 1 X 2 5x 6 Dx Why My Solution Is Different From Book Mathematics Stack Exchange

Ex 7 4 1 Integrate 3x2 X6 1 Chapter 7 Class 12 Ex 7 4

Ex 7 4 1 Integrate 3x2 X6 1 Chapter 7 Class 12 Ex 7 4

Urgent Integrate X 1 X 2 X 3 X 4 X 5 X 6 Dx Math 9952633 Meritnation Com

Urgent Integrate X 1 X 2 X 3 X 4 X 5 X 6 Dx Math 9952633 Meritnation Com

Integral Of X 4 1 X 6 2 Youtube

Integral Of X 4 1 X 6 2 Youtube

Solved Evaluate Integral X 1 X 2 5x 6 Dx Evaluate Chegg Com

Solved Evaluate Integral X 1 X 2 5x 6 Dx Evaluate Chegg Com

Hasil Dari Integral X 2 X3 6x 1 Pangkat 1 2 Dx Brainly Co Id

Hasil Dari Integral X 2 X3 6x 1 Pangkat 1 2 Dx Brainly Co Id

The Value Of The Integral 1 3 X 1 2 1 X 6 1 4 For X 0 1 2 Dx Is Sarthaks Econnect Largest Online Education Community

The Value Of The Integral 1 3 X 1 2 1 X 6 1 4 For X 0 1 2 Dx Is Sarthaks Econnect Largest Online Education Community

Solved Evaluate Using Partial Fractions A Integral 1 X Chegg Com

Solved Evaluate Using Partial Fractions A Integral 1 X Chegg Com

What Is The Integration Of Math Displaystyle Int Dfrac X 6 1 X 2 1 Mathrm D X Math Quora

What Is The Integration Of Math Displaystyle Int Dfrac X 6 1 X 2 1 Mathrm D X Math Quora

Integral Of X 2 1 X 4 1 Youtube

Integral Of X 2 1 X 4 1 Youtube

Ex 7 4 6 Integrate X2 1 X6 Chapter 7 Cbse Ncert

Ex 7 4 6 Integrate X2 1 X6 Chapter 7 Cbse Ncert

Source : pinterest.com